Arsip

Laporkan Penyalahgunaan

Mengenai Saya

View 15 Identidades Notables Elevado A 3

Your Identidades Notables Elevado A 3 pic are accessible in this web. Identidades Notables Elevado A 3 are a topic that is being searched for and appreciated by netizens these days. You can Save the Identidades Notables Elevado A 3 here. Get all royalty-free pix.

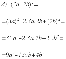
IDENTIDADES NOTABLES ❎ Binomio al CUBO - Identidades Notables Elevado A 3

WEBSITE

En este vídeo aprenderás a realizar las siguientes Identidades Notables: suma al cubo y resta o diferencia al cubo. SERIE sobre ...

We Have got 11 pics about Identidades Notables Elevado A 3 images, photos, pictures, backgrounds, and more. In such page, we additionally have number of images out there. Such as png, jpg, animated gifs, pic art, symbol, blackandwhite, pics, etc. If you're searching for Identidades Notables Elevado A 3 topic, you have visit the ideal website. Our web always gives you hints for seeing the highest quality images content, please kindly hunt and locate more enlightening articles and pix that fit your interests.

wallpapers Identidades Notables Elevado A 3 productos e identidades notables demostraciones y ejercicios resueltos
  • Productos E Identidades Notables Demostraciones ... | 214x141 px
  • images Identidades Notables Elevado A 3 productos e identidades notables demostraciones y ejercicios resueltos
  • Productos E Identidades Notables Demostraciones ... | 191x237 px
  • wallpapers Identidades Notables Elevado A 3 identidades notables productos notables formulas ejemplos
  • Identidades Notables Productos Notables Formulas ... | 642x644 px
  • images Identidades Notables Elevado A 3 identidades notables productos notables formulas ejemplos
  • Identidades Notables Productos Notables Formulas ... | 364x146 px
  • pics Identidades Notables Elevado A 3 productos notables o identidades notables formulas ejercicios
  • Productos Notables O Identidades Notables ... | 226x203 px
  • wallpapers Identidades Notables Elevado A 3 identidades notables potencia de un polinomio cuadrados y cubos cuadrado de un polinomio trinomios al cubo
  • Identidades Notables Potencia De Un ... | 257x100 px
  • pics Identidades Notables Elevado A 3 identidad notable ejercicios guia paso a paso 2021
  • Identidad Notable Ejercicios Guia Paso ... | 426x204 px
  • photo Identidades Notables Elevado A 3 el triangulo de pascal y el binomio de newton matematicascercanas
  • El Triangulo De Pascal Y ... | 683x279 px
  • pic Identidades Notables Elevado A 3 identidades notables productos notables formulas ejemplos
  • Identidades Notables Productos Notables Formulas ... | 364x187 px
  • pics Identidades Notables Elevado A 3 igualdades notables teoria y ejercicios resueltos problemas leec
  • Igualdades Notables Teoria Y Ejercicios ... | 573x100 px
  • photo Identidades Notables Elevado A 3 http diccio mates blogspot com 2009 12 productos y factores notables i html
  • Diccionario Matematicas Productos Y Factores ... | 400x236 px
  • picture Identidades Notables Elevado A 3 identidades notables productos notables formulas ejemplos
  • Identidades Notables Productos Notables Formulas ... | 364x187 px
  • pic Identidades Notables Elevado A 3 http diccio mates blogspot com 2009 12 productos y factores notables i html
  • Diccionario Matematicas Productos Y Factores ... | 400x236 px
  • images Identidades Notables Elevado A 3 productos notables binomio al cubo ejercicio 3 youtube
  • Productos Notables Binomio Al Cubo ... | 1280x720 px
  • pics Identidades Notables Elevado A 3 identidades notables ejercicios y explicacion espaciociencia com
  • Identidades Notables Ejercicios Y Explicacion ... | 755x337 px
  • images Identidades Notables Elevado A 3 identidades notables ejercicios y explicacion espaciociencia com
  • Identidades Notables Ejercicios Y Explicacion ... | 1280x720 px
  • pic Identidades Notables Elevado A 3 productos e identidades notables demostraciones y ejercicios resueltos
  • Productos E Identidades Notables Demostraciones ... | 214x141 px
  • pic Identidades Notables Elevado A 3 identidades notables productos notables formulas ejemplos
  • Identidades Notables Productos Notables Formulas ... | 362x290 px
  • picture Identidades Notables Elevado A 3 identidades notables productos notables formulas ejemplos
  • Identidades Notables Productos Notables Formulas ... | 642x644 px
  • pic Identidades Notables Elevado A 3 igualdades notables teoria y ejercicios resueltos problemas leec
  • Igualdades Notables Teoria Y Ejercicios ... | 573x100 px
  • picture Identidades Notables Elevado A 3 identidades notables binomio al cubo youtube
  • Identidades Notables Binomio Al Cubo ... | 1280x720 px
  • pic Identidades Notables Elevado A 3 identidades notables potencia de un polinomio cuadrados y cubos cuadrado de un polinomio trinomios al cubo
  • Identidades Notables Potencia De Un ... | 257x100 px
  • picture Identidades Notables Elevado A 3 productos e identidades notables demostraciones y ejercicios resueltos
  • Productos E Identidades Notables Demostraciones ... | 191x237 px
  • images Identidades Notables Elevado A 3 los productos notables binomio elevado al cubo youtube
  • Los Productos Notables Binomio Elevado ... | 1116x556 px
  • photo Identidades Notables Elevado A 3 identidades notables ejercicios y explicacion espaciociencia com
  • Identidades Notables Ejercicios Y Explicacion ... | 755x337 px
  • This site is an open community for users to share their favorite pics on the internet, all pix or pictures in this blog are for personal pics use only, it is stricly prohibited to use this picture for commercial purposes, if you are the creator and find this images is shared without your permission, please kindly raise a DMCA report to Us.

    If you find this site serviceableness, please support us by sharing this posts to your preference social media accounts like Facebook, Instagram and so on or you can also Save this blog page with the title Identidades Notables Elevado A 3 by using Ctrl + D for gadgets a laptop with a Windows operating system or Command + D for laptops with an Apple operating system. If you use a smartphone, you can also use the drawer menu of the browser you are using. Whether it's a Windows, Mac, iOS or Android operating system, you will still be able to bookmark this blog.

    Related Posts

    There is no other posts in this category.

    Posting Komentar